Automata-based monitoring for LTL-FO ^+$$ (original) (raw)
Appendix
We include in this appendix complete version of proofs and theorems that have been elided from the paper out of space considerations as a courtesy for the reviewers. While the paper itself is self-contained and complete, the materiel in this appendix may provide precisions.
We begin in Sect. A.1 with some preliminary notions related to multiset theory, which will be of use in the proof. The main theorem of this paper is also stated in this initial section. Section A.2 provides a supporting lemma related to multiset manipulation. Section A.3 provides the proof of correction of the verification algorithm stated in Sect. 4. Section A.4 includes pseudocode for an auxiliary algorithm referred to in Sect. 4, which was elided from the main paper out of space considerations.
1.1 Preliminaries
In what follows, we represent a slice, which is a nonempty collection of pairs, as a multiset of pairs. Analogously, we represent a SliceSet, which is a nonempty collection of slices, as a multiset of slices. A multiset is a generalized set that allows multiple occurrences of any element (see [26] for reference). Multisets naturally support duplicate run trees (i.e., repeated slices in a SliceSet) and duplicate branches (i.e., repeated pairs in a slice). Thus, they accurately describe the execution of the alternating automata. Although it is obvious that duplicates can be ignored for memory optimization (as was the case in [[11](/article/10.1007/s10009-020-00566-z#ref-CR11 "Finkbeiner, B., Sipma, H.: Checking finite traces using alternating automata. Formal Methods Syst. Des. 24(2), 101–127 (2004). https://doi.org/10.1023/B:FORM.0000017718.28096.48
")\] where sets are favored over multisets or the software Pelota presented in Sect. [5](/article/10.1007/s10009-020-00566-z#Sec8)), it is easier, for our correctness proof to keep them.We mathematically define \(\vee \) and \(\wedge \) over SliceSets w.r.t. operator \(\uplus \) that denotes the sum of two multisets. For any multisets A and B, the sum \(A \uplus B\) is a multiset that contains every occurrence of every element of A and B. In other words, the number of occurrences of any element in \(A \uplus B\) is equal to the sum of number of occurrences of this element in A and in B. This definition of \(\vee \) and \(\wedge \) is consistent with our intuitive understanding of SliceSet manipulations: For instance, SliceSet \(A \vee B\) equals \(\top \) iff A or B does and that it equals \(\bot \) iff A and B do. Likewise, the semantics of \(\wedge \) ensure that a SliceSet \(A \wedge B\) induces \(\top \) iff A and B do, and it induces \(\bot \) iff A or B does.
Definition 11
Let \(A = \{A_1, \ldots , A_m\}\) and \(B = \{B_1, \ldots , B_n\}\) be SliceSets:
- \(A \vee B = A \uplus B=\{A_1, \ldots , A_m, B_1, \ldots , B_n \}\);
- \(A \wedge B = \{A_i \uplus B_j \mid 1 \le i \le m, 1 \le j \le n\}\).
Next, we introduce the function
, a straight copy of
with the only difference that
is initially assigned to \(\{\{ (p, s_0^{\varphi }) \}\}\) instead of \(\{\{ ([], s_0^{\varphi }) \}\}\), where \(p :V \rightarrow D\) is a partial function that assigns the free variables in \(\varphi \) and \(s_0^{\varphi }\) is the initial state, representing the entire property (\(\varphi \)). This notation will allow us to reason about the behavior of the algorithm during intermediate phases in which it manipulates subformulae of \(\varphi \) containing free variables. We say that \((p, \varphi )\) is a well-formed formula iff every free variable occurring in \(\varphi \) is assigned a value in p. Following the semantics in Sect. 2, for any nonempty finite trace \(\overline{m}\) and any well-formed formula \((p, \varphi )\), \([\overline{m} \models (p, \varphi )]\) is equal to \([\overline{m} \models \varphi (p)]\).
In this context, we can now restate the theorem establishing the correctness of the algorithm presented in Sect. 4 in the slightly modified form that follows when \(p = []\) and \(\varphi \) is devoid of free variables:
Theorem 2
Let \(\overline{m} = m_1, \ldots , m_n\) be a finite message trace, and let \((p, \varphi )\) be a well-formed formula. The output of
is equal to \(\top \) (resp.\(\bot \)) iff \([\overline{m} \models (p, \varphi )]= \top \) (resp. \([\overline{m} \models (p, \varphi )]= \bot \)).
Observe that if \([\overline{m} \models (p, \varphi )]\) evaluates to ‘?,’ the breath-first algorithm returns a mustiest of multisets of values, in which it requires for the evaluation of the formula to proceed to the next message of the sequence. However, if the final message of the input sequence has been reached, any value returned by
different from \(\top \) or \(\bot \) can be trivially converted to ‘?,’ allowing the verdict of the verification algorithm to correspond to the semantics of LTL-FO\(^+\) in all cases. The remainder of this section is devoted to the proof of Theorem 2. We proceed by strong induction on the size of formulae. Recall that the size of a formula \(\varphi \), denoted by \(|\varphi |\), is the height of its tree decomposition. The recursive nature of the algorithms favors this decision: The size of the input of
is reduced by 1 size unit with each recursive call.
1.2 Lemma on SliceSets
In what follows, we omit the subscripted index of the slice and SliceSet when it is clear from context. The following notation identifies specific
s (or terms) computed by
:
Definition 12
Let \((p, \varphi )\) be a well-formed formula, and let \(\overline{m} = m_1, \ldots , m_n\) (\(n \ge 0\)) be a finite message trace. The sequence
of SliceSets and truth values (\(\mathbf {true}\), \(\mathbf {false}\)) is recursively defined as follows:

The following lemma describes more formally the relationship between
s and the
algorithm.
Lemma 1
Let \(\mu \) and \(\eta \) be formulae. Let \(p :{V \setminus \{x\}} \rightarrow D\) be a partial function, and for all \(d \in D\), denote \(p \cup \{(x, d)\}\) by the shorthand \(p_{d}\). If the expressions \((p_{d}, \eta )\), \((p, \eta )\) and \((p, \mu )\) are well formed, then for any path \(\pi \), any finite message trace \(\overline{m} = m_1, \ldots , m_n\) (\(n \ge 1\)), and for all \(1 \le i \le n\):

1.3 Proof of correctness the main theorem
In this section, we give a more complete and detailed proof of the main theorem of this paper.
We proceed by induction on the depth of the property.
- Base case: Theorem 2 holds for any nonempty finite trace \(\overline{m}\) and any well-formed couple \((p, \varphi )\) when \(|\varphi | = 0\).
Let \(\overline{m} = m_0, \ldots , m_n\) be some finite trace, and let \((p, \varphi )\) represent a well-formed formula where \(|\varphi | = 0\). By the definition of \(|\cdot |\), \(\varphi \) is an equality \(x = y\), inequality \(x \ne y\), or some other boolean comparison where x and y are constants or (free) variables. The couple \((p, \varphi )\) is well-formed, so if x (or y) is a variable p assigns it a value.
The transition formula of the state \(s_0^{\varphi }\) is given by
and is equal to:
. Therefore:

The truth values \(\mathbf {true}\) and \(\mathbf {false}\) are final once they are obtained, so this equation also holds for
and leads to the following output:

If \(\varphi \) is an equality (resp. inequality), the condition
evaluates to \(p(x) = p(y)\) (resp. \(p(x) \ne p(y)\)), which is equal to \(\varphi (p)\). Hence, the final output is equal to \([\overline{m} \models \varphi (p)] = [\overline{m} \models (p, \varphi )]\).
- Induction step: For some integer \(d \ge 0\), if Theorem 2 holds for any nonempty finite trace \(\overline{m}\) and any well-formed couple \((p, \varphi )\) when \(|\varphi | \le d\), then it also holds when \(|\varphi | = d+1\).
Let \(\overline{m} \) be some finite nonempty trace, and let \((p, \varphi )\) be a well-formed formula. Suppose \(|\varphi | = d+1\). Since \(d \ge 0\), \(\varphi \) cannot be an equality nor an inequality; rather, it must take one of nine possible forms. If \(\varphi \) is of the form \(\exists _{\pi } x : \eta \), \(\forall _{\pi } x : \eta \), \(\mathbf{X\,}\, \eta \), \(\mathbf{F\,}\, \eta \) or \(\mathbf{G\,}\, \eta \), then the induction hypothesis covers \(\eta \) because \(|\eta | = d\). If \(\varphi \) is of the form \(\mu \vee \eta \), \(\mu \wedge \eta \), \(\mu \, \mathbf{\,U\,}\, \eta \) or \(\mu \, \,\mathbf {R}\,\, \eta \), then it covers both \(\mu \) and \(\eta \) because \(\max \{ |\mu |, |\eta | \} = d\).
For every form of \(\varphi \), there exists an equation from Lemma 1 that, for all \(0 \le i \le n\), links
to SliceSets related to \(\eta \) (and \(\mu \)). These equations, combined with the induction hypothesis, allow us to prove that
returns \([\overline{m} \models (p, \varphi )]\). The details depend on \(\varphi \), but it is always sufficient to show that
returns \(\top \) (resp. \(\bot \)) iff \([\overline{m} \models (p, \varphi )] = \top \) (resp. \(\bot \)) since these two equivalences imply that
also returns \(?\) iff \([\overline{m} \models (p, \varphi )] = \ ?\).
1.3.1 Case \(\varphi = \mu \vee \eta \)
Lemma 1 holds for any \(1 \le i \le n\), so if \(i = n\), we have

We previously observed that \(|\mu | \le d\) and \(|\eta | \le d\). Since \((p, \varphi )\) is well formed, \((p, \mu )\) and \((p, \eta )\) are also well formed and are covered by the induction hypothesis. It follows from this hypothesis, the equation above, and the Definition of LTL-FO\(^+\) given in Definition 4, that

As a result,
returns \(\top \) iff \([\overline{m} \models (p, \varphi )] = \top \). A similar reasoning shows that
returns \(\bot \) iff \([\overline{m} \models (p, \varphi )] = \bot \). Thus, we can conclude that
returns the correct value.
1.3.2 Case \(\varphi = \exists _{\pi } x : \eta \)
By Lemma 1, if \(i = n\), then

We already established that \(|\eta | \le d\) and that the couple \((p_{d}, \eta (x/d))\) is well formed. Therefore, the induction hypothesis covers \((p_{d}, \eta (x/d))\).
If \(Dom_{m_1}(\pi )\) is empty, the disjunction in the equation above is conventionally set to \(\mathbf {false}\), so
. Otherwise, if \(Dom_{m_1}(\pi )\) is not empty,

When we unify both scenarios, we get that
iff
(Definition 4). In other words,
returns
iff
.
Similarly,
iff there exists some \(d \in Dom_{m_1}(\pi )\) for which
(note that \(Dom_{m_1}(\pi ) \ne \emptyset \) is implied). It follows from the induction hypothesis and Definition 4 that
returns \(\top \) iff \([\overline{m} \models (p, \varphi )] = \top \). Hence,
returns the correct value.
1.3.3 Case \(\varphi = \mathbf{X\,}\, \eta \)
By Lemma 1, if \(i = n\), then

If \(n=1\), the last SliceSet computed by
is \(\{\{ (p, s_{\eta }^0) \}\}\). Since a verdict could not be assigned at that point, it evaluates to \(?\), which is also the value of \([\overline{m} \models (p, \varphi )]\) (Definition 4). Otherwise, since \((p, \eta )\) is well formed and \(|\eta | \le d\), we can use the induction hypothesis on
. Doing so results in the desired equivalences:

(1)

(2)
Again, the output of
is \([\overline{m} \models (p, \varphi )]\).
1.3.4 Case \(\varphi = \mathbf{F\,}\, \eta \)
By Lemma 1, if \(i = n\), then

The SliceSet \(\{\{ (p, s_0^{\varphi }) \}\}\) evaluates to \(?\). As a result, the disjunction
can never evaluate to \(\mathbf {false}\),and
will never return \(\bot \). However, it returns \(\top \) iff
for some \(1 \le j \le n\).
As with the previous case, the couple \((p, \eta )\) is well formed and \(|\eta | \le d\). Also, for any \(1 \le j \le n\),
is the last term computed by
. Therefore, we can use the induction hypothesis on this term and conclude that:

In summary,
never returns \(\bot \) just like \([\overline{m} \models (p, \varphi )]\) is never equal to \(\bot \), and it returns \(\top \) iff \([\overline{m} \models (p, \varphi )] = \top \).
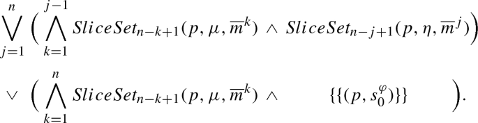
1.3.5 Case \(\varphi = \mu \, \mathbf{\,U\,}\, \eta \)
By Lemma 1, if \(i = n\), then
is equal to

The couples \((p, \mu )\) and \((p, \eta )\), just like in the case \(\varphi = \mu \vee \eta \), are well formed, and the size \(|\cdot |\) of their formulae is less than or equal to d. Since the equation is a disjunction of conjunctions,
is \(\mathbf {true}\) iff one conjunction is \(\mathbf {true}\). The SliceSet \(\{\{ (p, s_0^{\varphi }) \}\}\) causes the last one to fail, so the results depend on the first n conjunctions:

Thus,
returns \(\top \) iff \([\overline{m} \models (p, \varphi )] = \top \).
The following analogous reasoning can be used to show that
returns \(\bot \) iff \([\overline{m} \models (p, \varphi )] = \bot \). We omit it here out of space considerations:
A disjunction like
is equal to \(\mathbf {false}\) iff all its conjunctions are \(\mathbf {false}\). In particular must admit a \(\mathbf {false}\) term. Since \(\{\{ (p, s_0^{\varphi }) \}\}\) evaluates to \(?\),
can only evaluate to \(\mathbf {false}\) if
fails for some \(1 \le k \le n\). Let \(k^*\) denote the smallest such value.
Let us now inspect every conjunction indexed by j where \(j \le k^*\). Because \(k \le j-1 < k^*\), any
composing them is not \(\mathbf {false}\) due to the minimality of \(k^*\). However, the conjunctions themselves still fail, so
must be \(\mathbf {false}\) for all \(j \le k^*\). In summary:

We showed that
returns \(\bot \) iff \([\overline{m} \models (p, \varphi )] = \bot \). Hence,
returns the correct value.
1.4 Function CondIsVerified
Function
consults the valuation map and\(\backslash \)or the current message and determines whether a conditional expression holds. Boolean equality can easily be generalized to other connectives. Pelota currently supports equality and inequality between integers and strings as well as ‘<’ comparison between integers. We omitted the pseudocode of this function from the main paper out of space considerations, and due to its simplicity, but include it here for completeness.
