Convergence Analysis in the Maximum Norm of the Numerical Gradient of the Shortley–Weller Method (original) (raw)
Abstract
The Shortley–Weller method is a standard central finite-difference-method for solving the Poisson equation in irregular domains with Dirichlet boundary conditions. It is well known that the Shortley–Weller method produces second-order accurate solutions and it has been numerically observed that the solution gradients are also second-order accurate; a property known as super-convergence. The super-convergence was proved in the \(L^{2}\) norm in Yoon and Min (J Sci Comput 67(2):602–617, 2016). In this article, we present a proof for the super-convergence in the \(L^{\infty }\) norm.
Access this article
Subscribe and save
- Starting from 10 chapters or articles per month
- Access and download chapters and articles from more than 300k books and 2,500 journals
- Cancel anytime View plans
Buy Now
Price excludes VAT (USA)
Tax calculation will be finalised during checkout.
Instant access to the full article PDF.
Similar content being viewed by others
References
- Caffarelli, L.A., Gilardi, G.: Monotonicity of the free boundary in the two-dimensional dam problem. Annali della Scuola Normale Superiore di Pisa-Classe di Scienze 7(3), 523–537 (1980)
MathSciNet MATH Google Scholar - Chorin, A.J.: A numerical method for solving incompressible viscous flow problems. J. Comput. Phys. 135(2), 118–125 (1997)
Article MATH Google Scholar - Ciarlet, P.G., Miara, B., Thomas, J.M.: Introduction to Numerical Linear Algebra and Optimisation. Cambridge Texts in Applied Mathematics. Cambridge University Press, Cambridge (1989)
Google Scholar - Friedman, A.: Variational principles and free-boundary problems. Courier Corporation, North Chelmsford (2010)
Google Scholar - Gibou, F., Min, C.: Efficient symmetric positive definite second-order accurate monolithic solver for fluid/solid interactions. J. Comput. Phys. 231, 3245–3263 (2012)
MathSciNet MATH Google Scholar - Gustafsson, I.: A class of first order factorization methods. BIT 18, 142–156 (1978)
Article MathSciNet MATH Google Scholar - Harlow, F.H., Welch, J.E.: Numerical calculation of time-dependent viscous incompressible flow of fluid with a free surface. Phys. Fluids 8(3), 2182–2189 (1965)
Article MathSciNet MATH Google Scholar - Iserles, A.: A First Course in the Numerical Analysis of Differential Equations. Cambridge Texts in Applied Mathematics. Cambridge University Press, Cambridge (1996)
Google Scholar - Li, Z.-C., Hu, H.-Y., Wang, S., Fang, Q.: Superconvergence of solution derivatives of the shortley-weller difference approximation to poisson’s equation with singularities on polygonal domains. Appl. Numer. Math. 58(5), 689–704 (2008)
Article MathSciNet MATH Google Scholar - Ng, Y.T., Chen, H., Min, C., Gibou, F.: Guidelines for poisson solvers on irregular domains with dirichlet boundary conditions using the ghost fluid method. J. Sci. Comput. 41(2), 300–320 (2009)
Article MathSciNet MATH Google Scholar - Peskin, C.S.: Flow patterns around heart valves. In: Proceedings of the Third International Conference on Numerical Methods in Fluid Mechanics, pp. 214–221. Springer (1973)
- Shortley, G.H., Weller, R.: The numerical solution of Laplace’s equation. J. Appl. Phys. 9(5), 334–348 (1938)
Article MATH Google Scholar - Strikwerda, J.C.: Finite Difference Schemes and Partial Differential Equations. SIAM, New Delhi (2004)
Book MATH Google Scholar - Weynans, L.: A proof in the finite-difference spirit of the superconvergence of the gradient for the Shortley–Weller method. Ph.D. thesis, INRIA Bordeaux (2015)
- Xiu, D., Karniadakis, G.E.: A semi-Lagrangian high-order method for Navier–Stokes equations. J. Comput. Phys. 172(2), 658–684 (2001)
Article MathSciNet MATH Google Scholar - Yoon, G., Min, C.: Analyses on the finite difference method by Gibou, et al. for poisson equation. J. Comput. Phys. 280, 184–194 (2015)
Article MathSciNet MATH Google Scholar - Yoon, G., Min, C.: Convergence analysis of the standard central finite difference method for Poisson equation. J. Sci. Comput. 67(2), 602–617 (2016)
Article MathSciNet MATH Google Scholar - Yoon, G., Min, C., Kim, S.: A stable and convergent method for hodge decomposition of fluid-solid interaction. (2016). arXiv:1610.03195
Author information
Authors and Affiliations
- Ewha Womans University, Seoul, Republic of Korea
Jiwon Seo & Chohong Min - Seoul National University, Seoul, Republic of Korea
Seung-yeal Ha
Authors
- Jiwon Seo
- Seung-yeal Ha
- Chohong Min
Corresponding author
Correspondence toChohong Min.
Appendix: Detailed Calculations in Lemma 4.3
Appendix: Detailed Calculations in Lemma 4.3
In this section, we provide detailed calculations that lead to the estimate \(\left\| D_{x}^{h}c^{h}\right\| _{L^{\infty }\left( \tilde{\Omega _{o}^{h}}\right) }\le \frac{105}{4}\max _{\tilde{\Omega },\left| \alpha \le 5\right| }\left| \partial ^{\alpha }u\right| \cdot h^{2}\) in Lemma 4.3.
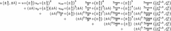
Using the Taylor series of \(u\left( x,y\right) \) at \(\left( x_{i+\frac{1}{2}},y_{j}\right) ,\) the terms that sum up \(D_{x}^{h}c^{h}\) in (4) are expanded. For notational conveniences, the local coordinates centered at \(\left( x_{i+\frac{1}{2}},y_{j}\right) \) are used in the calculations. For example, \(u_{i+1,j+1}\) is denoted by \(u\left( \frac{h}{2},h\right) \). The Taylor expansions are listed below with remainders.
\begin{aligned} \begin{array}{rrrrrrrrrrr} u\left( \pm \frac{3h}{2},0\right) =u &{} \pm &{} \frac{3h}{2}u_{x} &{} + &{} \frac{9h^{2}}{8}u_{xx} &{} \pm &{} \frac{9h^{3}}{16}u_{xxx} &{} + &{} \frac{27h^{4}}{128}u_{xxxx} &{} \pm &{} \frac{81h^{5}}{1280}u_{xxxxx}\left( \xi _{1}^{\pm },0\right) \\ u\left( \pm \frac{h}{2},0\right) =u &{} \pm &{} \frac{h}{2}u_{x} &{} + &{} \frac{h^{2}}{8}u_{xx} &{} \pm &{} \frac{h^{3}}{48}u_{xxx} &{} + &{} \frac{h^{4}}{384}u_{xxxx} &{} \pm &{} \frac{h^{5}}{3840}u_{xxxxx}\left( \xi _{2}^{\pm },0\right) \end{array}\\ \begin{array}{rrrrrcc} \Delta u\left( \pm \frac{h}{2},0\right) =\Delta u&\pm&\frac{h}{2}\left( u_{xxx}+u_{xyy}\right)+ & {} \frac{h^{2}}{8}\left( u_{xxxx}+u_{xxyy}\right)&\pm&\frac{h^{3}}{48}\left( u_{xxxxx}+u_{xxxyy}\right) \left( \xi _{4}^{\pm },0\right) \end{array} \end{aligned},canceledoutallthetermsbuttheremainders.
When the above expansions are inserted into the summation of \(D_{x}^{h}c^{h}\), canceled out all the terms but the remainders.,canceledoutallthetermsbuttheremainders.\begin{aligned} D_{x}^{h}c_{i+\frac{1}{2},j}^{h}{=}\frac{h^{2}}{120}\left( \begin{array}{l} {-}\left( \frac{3}{2}\right) ^{5}\left( u_{xxxxx}\left( \xi _{1}^{+},0\right) {+}u_{xxxxx}\left( \xi _{1}^{-},0\right) \right) {+}\frac{5}{2^{5}}\left( u_{xxxxx}\left( \xi _{2}^{+},0\right) {+}u_{xxxxx}\left( \xi _{2}^{-},0\right) \right) \\ -\left( \frac{1}{2}\right) ^{5}\left( \begin{array}{r} \left( u_{xxxxx}{+}u_{xxxxy}{+}u_{xxxyy}{+}u_{xxyyy}{+}u_{xyyyy}{+}u_{yyyyy}\right) \left( \frac{1}{2}\xi _{3}^{+,+},\xi _{3}^{+}\right) \\ {+}\left( u_{xxxxx}{-}u_{xxxxy}{+}u_{xxxyy}{-}u_{xxyyy}{+}u_{xyyyy}{-}u_{yyyyy}\right) \left( \frac{1}{2}\xi _{3}^{+,-},\xi _{3}^{-}\right) \\ {+}\left( u_{xxxxx}{-}u_{xxxxy}{+}u_{xxxyy}{-}u_{xxyyy}{+}u_{xyyyy}{-}u_{yyyyy}\right) \left( \frac{1}{2}\xi _{3}^{-,+},\xi _{3}^{+}\right) \\ {+}\left( u_{xxxxx}{+}u_{xxxxy}{+}u_{xxxyy}{+}u_{xxyyy}{+}u_{xyyyy}{+}u_{yyyyy}\right) \left( \frac{1}{2}\xi _{3}^{-,-},\xi _{3}^{-}\right) \end{array}\right) \\ +\frac{5}{2}\left( \left( u_{xxxxx}+u_{xxxyy}\right) \left( \xi _{4}^{+},0\right) +\left( u_{xxxxx}+u_{xxxyy}\right) \left( \xi _{4}^{-},0\right) \right) \end{array}\right) \end{aligned}Now,weprovethelemma.Now, we prove the lemma.Now,weprovethelemma.\begin{aligned} \begin{array}{rcl} \left| D_{x}^{h}c_{i+\frac{1}{2},j}^{h}\right| &{} \le &{} \max _{\tilde{\Omega },\left| \alpha \right| \le 5}\left| \partial ^{\alpha }u\right| \cdot \frac{h^{2}}{120}\left( 2\cdot \left( \frac{3}{2}\right) ^{5}+2\cdot \frac{5}{2^{5}}+4\cdot 6\cdot \left( \frac{1}{2}\right) ^{5}+2\cdot 2\cdot \frac{5}{2}\right) \\ &{} = &{} \frac{105}{4}\max _{\tilde{\Omega },\left| \alpha \le 5\right| }\left| \partial ^{\alpha }u\right| \cdot h^{2}. \end{array} \end{aligned}$$
Rights and permissions
About this article
Cite this article
Seo, J., Ha, Sy. & Min, C. Convergence Analysis in the Maximum Norm of the Numerical Gradient of the Shortley–Weller Method.J Sci Comput 74, 631–639 (2018). https://doi.org/10.1007/s10915-017-0458-z
- Received: 10 April 2017
- Revised: 05 May 2017
- Accepted: 15 May 2017
- Published: 27 May 2017
- Issue date: February 2018
- DOI: https://doi.org/10.1007/s10915-017-0458-z