Relationships between indices of obesity and its co-morbidities in multi-ethnic Singapore (original) (raw)
- Paper
- Published: 23 October 2001
International Journal of Obesity volume 25, pages 1554–1562 (2001)Cite this article
- 2156 Accesses
- 156 Citations
- 3 Altmetric
- Metrics details
Abstract
OBJECTIVE: To investigate the effect of body mass index (BMI) and body fat distribution as measured by waist-to-hip ratio (WHR) on the cardiovascular risk factor profile of the three major ethnic groups in Singapore (Chinese, Malay and Indian people) and to determine if WHO recommended cut-off values for BMI and WHR are appropriate for the different sub-populations in Singapore.
DESIGN: Cross-sectional population study.
SUBJECTS: A total of 4723 adult subjects (64% Chinese individuals, 21% Malay individuals and 15% Indian individuals) were selected through a multi-staged sampling technique to take part in the National Health Survey in 1998.
MEASUREMENTS: Data on socio-economic status (education level, occupation, housing type) and lifestyle habits (smoking and physical activity), body weight, body height, waist and hip circumferences and blood pressure measured using standardised protocols. Fasting venous blood samples were obtained for determination of serum total cholesterol (TC), high density lipoprotein cholesterol (HDL), low density lipoprotein cholesterol (LDL), triglycerides (TG). Venous blood samples were taken for 2 h oral glucose tolerance test (2 h glu).
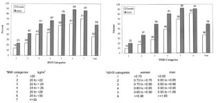
RESULTS: Absolute and relative risks for at least one cardiovascular risk factor (elevated TC, elevated TC/HDL ratio, elevated TG, hypertension and diabetes mellitus) were determined for various categories of BMI and WHR. At low categories of BMI (BMI between 22 and 24 kg/m2) and WHR (WHR between 0.80 and 0.85 for women, and between 0.90 and 0.95 for men), the absolute risks are high, ranging from 41 to 81%. At these same categories the relative risks are significantly higher compared to the reference category, ranging from odds ratio of 1.97 to 4.38. These categories of BMI and WHR are all below the cut-off values of BMI and WHR recommended by WHO.
CONCLUSIONS: The results show that, at relatively low BMI and WHR, Singaporean adults experience elevated levels of risks (absolute and relative) for cardiovascular risk factors. These findings, in addition to earlier reported high percentage body fat among Singaporeans at low levels of BMI, confirm the need to revise the WHO cut-off values for the various indices of obesity and fat distribution, viz BMI and WHR, in Singapore.
This is a preview of subscription content, access via your institution
Access options
Subscribe to this journal
Receive 12 print issues and online access
$259.00 per year
only $21.58 per issue
Buy this article
- Purchase on SpringerLink
- Instant access to the full article PDF.
USD 39.95
Prices may be subject to local taxes which are calculated during checkout
Additional access options:
Figure 1

Similar content being viewed by others
References
- World Health Organisation . Obesity: prevention and managing the global epidemic Report of a WHO Consultation on Obesity, WHO/NUT/NCD/98.1 WHO: Geneva 1998
Google Scholar - Lukaski HC . Methods for the assessment of body composition: traditional and new Am J Clin Nutr 1987 46: 437–456.
Article Google Scholar - Womersley J, Durnin JVGA . A comparison of the skinfold method with extent of overweight and various weight-height relationships in the assessment of obesity Br J Nutr 1977 38: 271–284.
Article CAS Google Scholar - Deurenberg P, Weststrate JA, Seidell JC . Body mass index as a measure of body fatness: age- and sex-specific prediction formulas Br J Nutr 1991 65: 105–114.
Article CAS Google Scholar - Gallagher D, Visser M, Sepulveda D, Pierson RN, Harris T, Heymsfield SB . How useful is BMI for comparison of body fatness across age, sex and ethnic groups Am J Epidemiol 1996 143: 228–239.
Article CAS Google Scholar - Pi-Sunyer FX . Health implications of obesity Am J Clin Nutr 1991 53 (Suppl 6): 1595S–1603S.
Article CAS Google Scholar - Lew EA, Garfinkel L . Variations in mortality by weight among 750 000 men and women J Chron Dis 1979 32: 563–576.
Article CAS Google Scholar - World Health Organization . Physical status: the use and interpretation of anthropometry Report of a WHO Expert Committee. WHO Technical Report Series 854 WHO: Geneva 1995
Google Scholar - Lean ME, Han TS, Seidell JC . Impairment of health and quality of life in people with large waist circumference Lancet 1998 i: 853–856.
Article Google Scholar - Wang J, Thornton JC, Russell M, Burastero S, Heymsfield S, Pierson RN Jr . Asians have lower body mass index (BMI) but higher percent body fat than do whites: comparisons of anthropometric measurements Am J Clin Nutr 1994 60: 23–28.
Article CAS Google Scholar - Swinburn BA, Craig PL, Daniel R, Dent DPD, Strauss BJG . Body composition differences between Polynesians and Caucasians assessed by bioelectrical impedance Int J Obes Relat Metab Disord 1996 20: 889–894.
CAS Google Scholar - Luke A, Durazo-Arvizzu R, Rotimi C, Prewitt E, Forrester T, Wilks R, Ogunbiyi OL, Schoeller DA, McGee D, Cooper RS . Relation between body mass index and body fat in black population samples from Nigeria, Jamaica, and the United States Am J Epidemiol 1997 145: 620–628.
Article CAS Google Scholar - Guricci S, Hartriyanti Y, Deurenberg P, Hautvast JGAJ . Relationship between body fat and body mass index: differences between Indonesians and Dutch Caucasians Eur J Clin Nutr 1998 52: 779–783.
Article Google Scholar - Deurenberg P, Yap M, van Staveren WA . Body mass index and percent body fat: a meta analysis among different ethnic groups Int J Obes Relat Metab Disord 1998 22: 1164–1171.
Article CAS Google Scholar - Deurenberg-Yap M, Schmidt G, van Staveren W, Deurenberg P . The paradox of low body mass index and high body fat percent in Singapore Int J Obes Relat Metab Disord 2000 24: 1011–1017.
Article CAS Google Scholar - Deurenberg P, Deurenberg-Yap M, Wang J, Lin Fu Po, Schmidt G . The impact of body build on the relationship between body mass index and body fat percent Int J Obes Relat Metab Disord 1999 23: 537–542.
Article CAS Google Scholar - Welty TK . Health implications of obesity in American Indians and Alaska Natives Am J Clin Nutr 1991 53 (Suppl 6): 1616S–1620S.
Article CAS Google Scholar - World Health Organization . Prevention of coronary heart disease WHO Technical Report Series 678 Geneva: WHO 1982
Google Scholar - Ministry of Health . The Health of Singaporeans Research and Evaluation Department, Ministry of Health: Singapore 1993
- World Health Organization . WHO Statistics Annals 1996 WHO: Geneva 1998
- Ministry of Health . 1999 Health Facts Singapore Ministry of Health: Singapore 2000
- Hughes K, Yeo PP, Lun KC . Ischaemic heart disease and its risk factors in Singapore in comparison with other countries Ann Acad Med Singapore 1989 18: 245–249.
CAS PubMed Google Scholar - Hughes K, Yeo PP, Lun KC . Cardiovascular diseases in Chinese, Malays, and Indians in Singapore. II. Differences in risk factor levels J Epidemiol Community Health 1990 44: 29–35.
Article CAS Google Scholar - Hughes K, Lun KC, Yeo PP . Cardiovascular diseases in Chinese, Malays, and Indians in Singapore. I. Differences in mortality J Epidemiol Community Health 1990 44: 24–28.
Article CAS Google Scholar - Hughes K . Mortality from cardiovascular diseases in Chinese, Malays and Indians in Singapore, in comparison with England and Wales, USA and Japan Ann Acad Med Singapore 1989 18: 642–645.
CAS PubMed Google Scholar - Ministry of Health . National Health Survey 1998, Singapore Epidemiology and Disease Control Department, Singapore. Ministry of Health: Singapore 1999
- World Health Organization . Measuring obesity. Classification and description of anthropometric data Report on a WHO Consultation on the Epidemiology of Obesity. WHO report EUR.ICP/Nut 125 WHO: Copenhagen 1987
Google Scholar - World Health Organization . MONICA Manual WHO: Geneva 1990
- World Health Organization . Hypertension control Report of a WHO Expert Committee. WHO Technical Report Series 862 WHO: Geneva 1996
Google Scholar - National Institutes of Health . National Cholesterol Education Program: second report of the Expert Panel on Detection, Evaluation and Treatment of High Blood Cholesterol in Adults (Adult Treatment Panel II) NIH Publication no. 93-3096. US Department of Health and Human Services 1993
- World Health Organization . Prevention of diabetes mellitus Report of a WHO Study Group. WHO Technical Report Series 844 WHO: Geneva 1994
Google Scholar - World Health Organization . Community prevention and control of cardiovascular diseases WHO Technical Report Series 732 WHO: Geneva 1986
Google Scholar - SPSS for Windows. v. 8.01 SPSS Manuals: Chicago, IL 1998
Acknowledgements
The authors wish to thank the following: Ministry of Health in Singapore for sponsoring the study; The National Health Survey working committee and staff from the Epidemiology and Disease Control Department, Ministry of Health, Singapore for the organisation and overseeing of the National Health Survey 1988; participating households and subjects who have given their full cooperation and support to the study.
Author information
Authors and Affiliations
- Research and Information Management, Health Promotion Board, Singapore
M Deurenberg-Yap & VFP Lin - Department of Epidemiology and Disease Control, Ministry of Health HQ, Singapore
SK Chew & BY Tan - Division of Human Nutrition and Epidemiology, Wageningen Agricultural University, Wageningen, The Netherlands
WA van Staveren & P Deurenberg - Nutrition Consultant, Chiltern Park, Singapore
P Deurenberg
Authors
- M Deurenberg-Yap
- SK Chew
- VFP Lin
- BY Tan
- WA van Staveren
- P Deurenberg
Corresponding author
Correspondence toM Deurenberg-Yap.
Rights and permissions
About this article
Cite this article
Deurenberg-Yap, M., Chew, S., Lin, V. et al. Relationships between indices of obesity and its co-morbidities in multi-ethnic Singapore.Int J Obes 25, 1554–1562 (2001). https://doi.org/10.1038/sj.ijo.0801739
- Received: 16 May 2000
- Revised: 29 August 2000
- Accepted: 02 October 2000
- Published: 23 October 2001
- Issue date: 01 October 2001
- DOI: https://doi.org/10.1038/sj.ijo.0801739