Genetic association of acyl-coenzyme A: cholesterol acyltransferase with cerebrospinal fluid cholesterol levels, brain amyloid load, and risk for Alzheimer's disease (original) (raw)
- Original Research Article
- Published: 08 July 2003
- J R Streffer1,
- M Tsolaki2,
- L M E Grimaldi3,4,
- D Lütjohann5,
- D Thal6,
- K von Bergmann5,
- R M Nitsch1,
- C Hock1 &
- …
- A Papassotiropoulos1
Molecular Psychiatry volume 8, pages 635–638 (2003)Cite this article
- 1010 Accesses
- 51 Citations
- 6 Altmetric
- Metrics details
Abstract
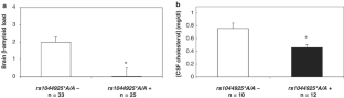
A common polymorphism of the gene encoding acyl-coenzyme A: cholesterol acyltransferase 1 (SOAT1), which is involved in the regulation of _β_-amyloid peptide generation, is associated with low brain amyloid load (_P_=0.03) and with low cerebrospinal fluid levels of cholesterol (_P_=0.005). This polymorphism of SOAT1 is also associated with reduced risk for Alzheimer's disease in ethnically distinct populations (_P_=0.0001, odds ratio: 0.6, 95% confidence interval 0.4–0.8).
This is a preview of subscription content, access via your institution
Access options
Subscribe to this journal
Receive 12 print issues and online access
$259.00 per year
only $21.58 per issue
Buy this article
- Purchase on SpringerLink
- Instant access to the full article PDF.
USD 39.95
Prices may be subject to local taxes which are calculated during checkout
Additional access options:
Figure 1

Similar content being viewed by others
References
- Selkoe DJ . Alzheimer's disease: genes, proteins, and therapy. Physiol Rev 2001; 81: 741–766.
Article CAS Google Scholar - Simons M, Keller P, De Strooper B, Beyreuther K, Dotti CG, Simons K . Cholesterol depletion inhibits the generation of beta-amyloid in hippocampal neurons. Proc Natl Acad Sci USA 1998; 95: 6460–6464.
Article CAS Google Scholar - Fassbender K, Simons M, Bergmann C, Stroick M, Lutjohann D, Keller P et al. Simvastatin strongly reduces levels of Alzheimer's disease beta -amyloid peptides Abeta 42 and Abeta 40 in vitro and in vivo. Proc Natl Acad Sci USA 2001; 98: 5856–5861.
Article CAS Google Scholar - Rudel LL, Lee RG, Cockman TL . Acyl coenzyme A: cholesterol acyltransferase types 1 and 2: structure and function in atherosclerosis. Curr Opin Lipidol 2001; 12: 121–127.
Article CAS Google Scholar - Puglielli L, Konopka G, Pack-Chung E, Ingano LA, Berezovska O, Hyman BT et al. Acyl-coenzyme A: cholesterol acyltransferase modulates the generation of the amyloid beta-peptide. Nat Cell Biol 2001; 3: 905–912.
Article CAS Google Scholar - Kehoe P, Wavrant-De Vrieze F, Crook R, Wu WS, Holmans P, Fenton I et al. A full genome scan for late ons_et al_zheimer's disease. Hum Mol Genet 1999; 8: 237–245.
Article CAS Google Scholar - Myers A, Wavrant De-Vrieze F, Holmans P, Hamshere M, Crook R, Compton D et al. Full genome screen for Alzheimer disease: Stage II analysis. Am J Med Genet 2002; 114: 235–244.
Article Google Scholar - Sullivan PF, Eaves LJ, Kendler KS, Neale MC . Genetic case-control association studies in neuropsychiatry. Arch Gen Psychiatry 2001; 58: 1015–1024.
Article CAS Google Scholar - McKhann G, Drachman D, Folstein M, Katzman R, Price D, Stadlan EM . Clinical diagnosis of Alzheimer's disease: report of the NINCDS-ADRDA Work Group under the auspices of Department of Health and Human Services Task Force on Alzheimer's Disease. Neurology 1984; 34: 939–944.
Article CAS Google Scholar - Thal DR, Rub U, Schultz C, Sassin I, Ghebremedhin E, Del Tredici K et al. Sequence of Abeta-protein deposition in the human medial temporal lobe. J Neuropathol Exp Neurol 2000; 59: 733–748.
Article CAS Google Scholar - Thal DR, Rüb U, Orantes M, Braak H . Phases of Aß-deposition in the human brain and its relevance for the development of AD. Neurology 2002; 58: 1791–1800.
Article Google Scholar - Braak H, Braak E Neuropathological staging of Alzheimer-related changes. Acta Neuropathol 1991; 82: 239–259.
- Dzeletovic S, Breuer O, Lund E, Diczfalusy U . Determination of cholesterol oxidation products in human plasma by isotope dilution-mass spectrometry. Anal Biochem 1995; 225: 73–80.
Article CAS Google Scholar - Demeester N, Castro G, Desrumaux C, De Geitere C, Fruchart JC, Santens P et al. Characterization and functional studies of lipoproteins, lipid transfer proteins, and lecithin: cholesterol acyltransferase in CSF of normal individuals and patients with Alzheimer's disease. J Lipid Res 2000; 41: 963–974.
CAS PubMed Google Scholar - Montine TJ, Montine KS, Swift LL . Central nervous system lipoproteins in Alzheimer's disease. Am J Pathol 1997; 151: 1571–1575.
CAS PubMed PubMed Central Google Scholar - Mulder M, Ravid R, Swaab DF, de Kloet ER, Haasdijk ED, Julk J et al. Reduced levels of cholesterol, phospholipids, and fatty acids in cerebrospinal fluid of Alzheimer disease patients are not related to apolipoprotein E4. Alzheimer Dis Assoc Disord 1998; 12: 198–203.
Article CAS Google Scholar - Accad M, Smith SJ, Newland DL, Sanan DA, King Jr LE, Linton MF et al. Massive xanthomatosis and altered composition of atherosclerotic lesions in hyperlipidemic mice lacking acyl CoA: cholesterol acyltransferase 1. J Clin Invest 2000; 105: 711–719.
Article CAS Google Scholar - Hixson JE, Vernier DT . Restriction isotyping of human apolipoprotein E by gene amplification and cleavage with HhaI. J Lipid Res 1990; 31: 545–548.
CAS Google Scholar - Kokoris M, Dix K, Moynihan K, Mathis J, Erwin B, Grass P et al. High-throughput SNP genotyping with the Masscode system. Mol Diagn 2000; 5: 329–340.
Article CAS Google Scholar - Terwilliger JD, Ott J . Linkage disequilibrium between alleles at marker loci. In: Terwilliger JD and Ott J (eds). Handbook of Human Genetic Linkage. The Johns Hopkins University Press: Baltimore, 1994, p. 189–198.
Acknowledgements
We thank Ms. Esmeralda Garcia, Ms Christin Wilde, Mrs Andrea Walther, and Ms Estelle Obrist for their patient care and sampling. The technical expertise of Ms Anja Kerksiek is gratefully acknowledged. This work was supported in parts by grants of the Swiss Science National Foundation (32-65869.01) and the Roche Research Foundation (22-2001) to AP, by the Bundesministerium für Bildung, Forschung, Wissenschaft und Technologie (01EC9402) to DL and KvB, by the National Center for Competence in Research (NCCR) ‘Neuronal Plasticity and Repair’, and by the EU DIADEM program on Diagnosis of Dementia.
Author information
Authors and Affiliations
- Division of Psychiatry Research, University of Zürich, Switzerland
M A Wollmer, J R Streffer, R M Nitsch, C Hock & A Papassotiropoulos - Third Department of Neurology, Aristotle University of Thessaloniki, Greece
M Tsolaki - Department of Neuroscience, Neuroimmunology Unit, IRCCS H. San Raffaele, Italy
L M E Grimaldi - Department of Neuroscience, AUSL n.2, Caltanissetta, Italy
L M E Grimaldi - Department of Clinical Pharmacology, University of Bonn Medical Center, Germany
D Lütjohann & K von Bergmann - Institute of Neuropathology, University of Bonn Medical Center, Germany
D Thal
Authors
- M A Wollmer
- J R Streffer
- M Tsolaki
- L M E Grimaldi
- D Lütjohann
- D Thal
- K von Bergmann
- R M Nitsch
- C Hock
- A Papassotiropoulos
Corresponding author
Correspondence toA Papassotiropoulos.
Rights and permissions
About this article
Cite this article
Wollmer, M., Streffer, J., Tsolaki, M. et al. Genetic association of acyl-coenzyme A: cholesterol acyltransferase with cerebrospinal fluid cholesterol levels, brain amyloid load, and risk for Alzheimer's disease.Mol Psychiatry 8, 635–638 (2003). https://doi.org/10.1038/sj.mp.4001296
- Received: 26 June 2002
- Revised: 06 October 2002
- Accepted: 10 October 2002
- Published: 08 July 2003
- Issue date: 01 June 2003
- DOI: https://doi.org/10.1038/sj.mp.4001296