Genomic characteristics of two most widely used BCG vaccine strains: Danish 1331 and Pasteur 1173P2 (original) (raw)
Abstract
Background
Bacillus Calmette–Guérin (BCG) refers to a group of vaccine strains with unique genetic characteristics. BCG is the only available vaccine for preventing tuberculosis (TB). Genetic and biochemical variations among the BCG vaccine strains have been considered as one of the significant parameters affecting the variable protective efficacy of the vaccine against pulmonary tuberculosis. To track genetic variations, here two vaccine strains (Danish 1331 and Pasteur 1173P2) popularly used according to the BCG World Atlas were subjected to a comparative analysis against the Mycobacterium tuberculosis H37Rv, Mycobacterium bovis AF2122/97, and Mycobacterium tuberculosis variant bovis BCG str. Pasteur 1173P2 reference genomes. Besides, the presence or absence of the experimentally verified human T cell epitopes was examined.
Results
Only two variants were identified in BCG Danish 1331 that have not been reported previously in any BCG strains with the complete submitted genome yet. Furthermore, we identified a DU1-like 14,577 bp region in BCG Danish 1331; The duplication which was previously seemed to be exclusive to the BCG Pasteur. We also found that 35% of the T cell epitopes are absent from both strains, and epitope sequences are more conserved than the rest of the genome.
Conclusions
We provided a comprehensive catalog of single nucleotide polymorphisms (SNPs) and short insertions and deletions (indels) in BCG Danish 1331 and BCG Pasteur 1173P2. These findings may help determine the effect of genetic variations on the variable protective efficacy of BCG vaccine strains.
View this article's peer review reports
Similar content being viewed by others
Background
Bacillus Calmette-Guérin (BCG), an attenuated derivative of Mycobacterium bovis (M. bovis), is the only vaccine used against tuberculosis. It is obtained through 230 consecutive in vitro passages over 13 years at the Pasteur Institute of Lille in 1921 [1]. The vaccine has been used to immunize more than four billion people over a century, which has made BCG the most widely used vaccine [1]. In 1924, the primary BCG vaccine was distributed to different countries, and the continuous subcultures under different conditions led to the emergence of various vaccine strains. Until the development of the seed lot system in the 1960s, BCG vaccine strains were exposed to more than 1000 passages in different laboratories that resulted in genotypic and phenotypic differences among them [2, 3].
Although the role of BCG has been proved in the prevention of disseminated forms of tuberculosis in children [4, 5], its protective efficacy is highly variable against pulmonary tuberculosis in adults (0%-80%) [6, 7]. Several factors, such as the usage of different vaccine strains with genetic differences, contact with non-tuberculosis mycobacteria (NTMs), host genetic factors, and diversities in the circulating Mycobacterium tuberculosis (M. tuberculosis) strains are associated with variability in protection [8,9,10,11].
While there is evidence about the evolution of the BCG vaccine strains since 1921 [1, 2], the genetic differences among these strains as one of the most important factors that might affect immunogenicity, viability, virulence, and thus variable efficacy have been little investigated. The genetic events may be shared among all strains and appear to be involved in attenuation of the primary strain or may be observed in each of the vaccine strains exclusively and be responsible for their over-attenuation [12,13,14,15,16,17,18]. Therefore, there is a need to examine the frequency of these genetic differences and their relationship with the phenotype of vaccines used by comparing the whole genome sequences of the BCG vaccine strains.
In 2009 and 2010, to standardize the vaccine production, Danish 1331, Tokyo 172–1, Russia BCG-1, and Moreau-RJ strains were introduced by the WHO Expert Committee on Biological Standardization (ECBS) as BCG reference strains [19, 20]. However, the chosen vaccine strain is different in the various countries and there is insufficient evidence to prove which strain provides the best protective efficacy against tuberculosis [21]. According to the latest update of the BCG World Atlas in 2020, Danish 1331 (16.6%), Pasteur 1173P2 (9.2%) and, Tokyo 172 (7.3%) strains are the most globally used strains for vaccine production, respectively [21]. This study aimed to analysis the complete genome sequences of the two most widely used BCG vaccine strains, including the reference strain introduced by WHO (Danish 1331) and the BCG strain used in Iran (Pasteur 1173P2). The main hypothesis of this study was to identify the new genetic variations in these two BCG strains that have not been reported so far in comparison to the reference strains.
Results
Genomic features for BCG Pasteur 1173P2 and BCG Danish 1331
The quality control of the assemblies estimated the total length of the contigs to be 4.2 Mbp for Pasteur 1173P2 and 4.3 Mbp for Danish 1331, and the GC content approximately 65% for both strains. A total of 4060 genes for Pasteur 1173P2 and 4037 for Danish 1331 were identified through scaffolds annotation (Fig. 1a-b). Total coding sequences (CDSs) and tRNA genes were found 4006 and 50 for Pasteur 1173P2 and 3982 and 51 for Danish 1331, respectively. Three genes for rRNA (5S, 16S, and 23S) and one for tmRNA (_ssr_A) were identified in both strains (Fig. 1a-b). In comparison to M. tuberculosis H37Rv, 58 and 31 genes encoding PPE and PE family proteins were recognized in both strains, respectively. In addition, 58 genes encoding proteins of the PE_PGRS subfamily were identified in Pasteur 1173P2 and 59 in Danish 1331. Among the regions of difference (RDs) that can differentiate between these two late strains, RD14 and N-RD18 were identified in Pasteur 1173P2 while not exist in Danish 1331. Moreover, we identified a DU1-like 14,577 bp region in Danish 1331.
Fig. 1
General genomic features of the BCG Pasteur 1173P2 and BCG Danish 1331. a Circular representation of the BCG Pasteur 1173P2 contigs using Proksee (https://proksee.ca). The scale is shown in megabases on the black central circle. Moving inward, two outer violet circles show forward and reverse strand CDSs, respectively. Some genes are shown on the outer violet circle with the Proksee's default. The tRNAs (orange arrows), rRNAs (light blue arrows), tmRNA (red arrow) and two CRISPR sequences (light green arrows adjacent each other) are shown in CDSs circles. The next circle shows GC content (dark blue) followed by the GC skew (dark green and pink). b Circular representation of the BCG Danish 1331 contigs using Proksee (https://proksee.ca). The scale is shown in megabases on the black central circle. Moving inward, two outer dark blue circles show forward and reverse strand CDSs, respectively. Some genes are shown on the outer dark blue circle with the Proksee's default. The tRNAs (orange arrows), rRNAs (light blue arrows), tmRNA (red arrow) and two CRISPR sequences (light green arrows) are shown in CDSs circles. The next circle shows GC content (dark green) followed by the GC skew (violet and pink). Category 0 > Virulence, detoxification, adaptation. Category 1 > Lipid metabolism. Category 2 > Information pathways. Category 3 > Cell wall and cell processes. Category 5 > Insertion sequences and phages. Category 6 > PE/PPE. Category 7 > Intermediary metabolism and respiration. Category 8 > Unknown. Category 9 > Regulatory proteins. Category 10 > Conserved hypothetical proteins. Category 16 > Conserved hypothetical with an orthologous in M. bovis
Genetic variations in comparison to M. tuberculosis H37Rv
The mean nucleotide variations (SNPs and Indels below 100 bp) was 549.7 for Pasteur 1173P2 and 559.9 for Danish 1331 per megabase of contigs length. In comparing the genome sequence of M. tuberculosis H37Rv with those of Pasteur 1173P2 and Danish 1331, a total of 2289 SNPs was identified (Table S1). The 2155 SNPs were shared in both strains, while 56 were found in Pasteur 1173P2 and 78 in Danish 1331. From 1992 SNPs occurred within 1328 genes, 63.8% are non-synonymous. Non-synonymous SNPs (nSNP) were found in 28 genes that resulted in translation shift compared to their homolog in M. tuberculosis H37Rv. Substitution of X404Q in surface-associated esterase LipC leads to a longer protein and nonsense mutations in _ugp_B (Rv2833c) and _lpd_A (Rv3303c) result in the lack of functional proteins. Analysis of strain-specific SNPs revealed only a nonsense mutation in _gal_E2 (Rv0501) and an nSNP in Rv1830 in the Danish 1331.
Consideration of genes encoding regulatory proteins in both strains revealed a mutation in _vir_S (Rv3082c) that could affect the transcription of the _mym_A operon (Rv3089-Rv3083). Mutations were also found in crp (Rv3676), _pst_P (Rv0018c), and _fha_A -as a mycobacterial core gene- (Rv0020c). Members of the mycobacterial serine/threonine protein kinases family (PknH, PknF, PknL, and PknK) and two-component systems (SenX3-RegX3, MprAB, KdpDE, etc.) were also identified in the regulators containing variants. _pks_12, as the largest open reading frame (ORF) in the mycobacterial genome, showed the most nSNPs among genes. In total, 47 nSNPs were detected in genes specifically required for mycobacterial in vivo survival in both strains (Table 1). Non-synonymous mutations were also identified in sigma factors involved in the initiation of replication. We found the substitution of guanine residue by adenine in the initiation codon of _sig_K (Rv0445c) and a nonsense mutation in Rv3687c encoding the anti-sigma factor antagonist RsfB. SNPs were also found in loci encoding ribosomal proteins in both strains. These mutations, which cause allelic differences between M. tuberculosis and BCG, lead to an altered amino acid at only four loci.
Table 1 Required genes for mycobacterial in vivo growth that contain non-synonymous SNPs in Pasteur 1173P2 and Danish 1331
A total of 222 indels below 100 bp were detected, of which 199 occurred in both strains, 14 in Danish 1331 and nine in Pasteur 1173P2 (Table S2). In total, deletions accounted for 53.1% and insertions 46.9%. Of the 154 indels in the genes, 115 led to frameshift mutations and abnormally short and long proteins. Danish 1331 was found as a _pho_R mutant due to a 10 bp deletion, whereas this loss was not detected for Pasteur 1173P2. Indels identified in both strains included frameshift insertions in _mce_1R (Rv0165c) and _pkn_D (Rv0931c) encoding transcriptional regulators belonging to the GntR family and serine/threonine protein kinases. As well, the _pho_T (Rv0820) and _pst_B (Rv0933), which encode members of the ABC transporter complex PstSCAB, _nrd_Z (Rv0570), _rec_B (Rv0630c), _tre_Z (Rv1562c), and stp (Rv2333c) have shifted frames. Both strains were identified as _sig_M mutants. Furthermore, in the study of MIRU-VNTR loci, we found that locus 580 located in the intergenic region of the genes encoding the components of the SenX3-RegX3 two-component regulatory system had two and three 77 bp repeats in Pasteur 1173P2 and Danish 1331, respectively.
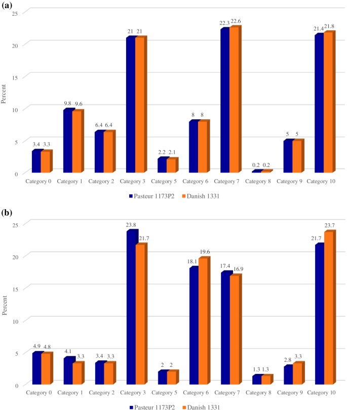
Assessment of the distribution of the variants in the functional classification of genes encoding a protein in M. tuberculosis using TubercuList (http://genolist.pasteur.fr/TubercuList/) showed that SNPs rate in genes involved in intermediate metabolism and respiration is higher in both strains (Fig. 2a). Most indels were detected in Pasteur 1173P2 and Danish 1331 in genes encoding proteins involved in cellular processes and conserved hypotheticals, respectively (Fig. 2b).
Fig. 2
a SNPs rate in the functional classification of genes encoding a protein in M. tuberculosis. b Indels rate in the functional classification of genes encoding a protein in M. tuberculosis. Category 0 > Virulence, detoxification, adaptation. Category 1 > Lipid metabolism. Category 2 > Information pathways. Category 3 > Cell wall and cell processes. Category 5 > Insertion sequences and phages. Category 6 > PE/PPE. Category 7 > Intermediary metabolism and respiration. Category 9 > Regulatory proteins. Category 10 > Conserved hypothetical proteins. Category 16 > Conserved hypothetical with an orthologous in M. tuberculosis
Genetic variations in comparison to M. bovis AF2122/97
In comparison to the M. bovis AF2122/97 genomic sequence, a set of 728 high-quality SNPs was identified (Table S3). Of these, 645 SNPs occurred in genes and 83 SNPs located in intergenic regions. 672 SNPs were found in both strains, 34 SNPs in Danish 1331 and 22 in Pasteur 1173P2 alone. The 65.6% of SNPs in genes were associated with non-synonymous amino acid substitutions and 34.4% with synonymous. Ten nSNPs cause a change in protein length; Of them, seven SNPs result in the longer protein and three lead to the shorter ones. Several SNPs, including mutation in _gal_E2 (Mb0513) in Danish 1331, were also identified compared to the M. tuberculosis H37Rv. In addition, mutations in _lpr_L (Mb0609) and _fad_B3A (Mb1742) lead to longer products than their homolog in M. bovis. The missense mutations in _mma_A3 (Mb0662c) and _pyk_A (Mb1643) were also identified in both strains.
Out of 74 indels found, 62 in both strains, five in the Pasteur 1173P2, and seven in the Danish 1331 were identified (Table S4). The 55.4% of indels were insertions and 44.6% deletions. Fifty-seven indels occurred in genes, 16 in intergenic regions, and one insertion in a pseudogene. Among the indels in the genes, 42 were frameshift mutations with one to ten base pair insertions or deletions. Pasteur 1173P2-specific indels including 10 and 15 bp deletions and a single base pair insertion in the genes, and two frameshift insertions in the intergenic regions, which were identified when compared to the M. tuberculosis H37Rv. Moreover, the Danish 1331-specific indels were three insertions including one and 5 bp with three deletions including one and 10 bp in the genes and a 3 bp insertion in the intergenic region. Some of these were common with the identified indels compared to the M. tuberculosis H37Rv. Analyzes also showed frameshifts in _fus_A2a (Mb0125C), _ugp_B (MB2857C), _ugp_Aa (Mb2860C), and _glp_K (Mb3722C) (Involved in glycerol catabolism) compared to M. bovis AF2122/97.
Using BoviList (http://genolist.pasteur.fr/BoviList/), it was shown that the rate of SNPs and indels in the genes involved in the intermediate metabolism and respiration, and the genes encoding proteins involved in the cell wall and cell processes is higher in both strains, respectively (Fig. 3a-b).
Fig. 3
a SNPs rate in the functional classification of genes encoding a protein M. bovis. b Indels rate in the functional classification of genes encoding a protein in M. bovis
Genetic variations in comparison to M. tuberculosis variant bovis BCG str. Pasteur 1173P2
A total of 37 variants (30 SNPs and 7 Indels) were identified (Table S5). The identified SNPs were three (a synonymous SNP [sSNP] and two SNPs in the intergenic region) for the Pasteur 1173P2 and 30 (14 nSNPs and seven sSNPs in the genes, and nine in the intergenic regions) for Danish 1331. Most of the SNPs identified in Danish 1331 compared to Pasteur 1173P2 were also found as Pasteur-SNPs compared to M. bovis AF2122/97. A missense mutation was observed in RS02785, encoding the oxidoreductase of the SDR family in Danish 1331. An insertion was shared between two strains, which was in frame. Three indels in the genes showed frameshift mutations in Danish 1331. One and 10 bp deletions in RS20015 and _pho_R, respectively, along with a 10 bp insertion in RS08265, were also detected in Danish 1331 compared to M. bovis AF2122/97.
Presence or absence of antigenic epitopes
Here, we examined 486 experimentally verified human T cell epitopes in the M. tuberculosis H37Rv. Our findings showed that 172 epitopes (35.4%) were absent in both BCG strains (Table S6). Moreover, the Pasteur 1173P2 has lost four additional epitopes relative to Danish 1331, which is associated with the RD14. Most of the absent epitopes from both strains (133 epitopes, 77.3%) are related to the RD1, which was deleted from all BCG strains between 1908 and 1921 [1]. The 23 deleted epitopes were located in RD2 containing the immunogenic protein Mpt64, which is absent only in late strains (obtained after 1927) [1]. Other missing epitopes belonged to RD7 (n = 4), RD3 and RD10 (n = 3), RD13 (n = 2) and RD4, RD5, RD11, and IS_1081_ (n = 1). A total of 42 antigens in both strains, four in Pasteur 1173P2 and one in Danish 1331, have at least a genetic variation outside their epitopic regions (Table 2). While the antigenic epitopes appear to be conserved amino acid sequences, we found four amino acid substitutions (three nSNPs and one sSNP) in six epitopes in both strains (Table 3). A transmembrane protein (Protein ID: NP_216249.1) had the highest variant-carrying epitopes. A missense mutation in Rv1733c substitutes an uncharged hydrophilic amino acid with a positively charged one in position 68 of the protein chain.
Table 2 M. tuberculosis antigens containing variants in non-epitope sequences in two BCG strains
Table 3 M. tuberculosis antigens containing variants in epitope sequences in two BCG strains
Fifty-four antigenic epitopes from M. bovis AF2122/97 were also examined in both strains (Table S7). Our findings revealed that nine epitopes (16.6%) were deleted from both strains related to RD1. Of the 45 antigens present, only one non-polar to polar amino acid substitution was found to be outside the epitope sequence of Eis N-acetyltransferase.
Discussion
There is sufficient evidence that BCG strains have undergone variations in their genomes since they were derived from the parental BCG. Genetic differences among the BCG strains have been considered as one of the factors associated with the vaccine variable efficacy [22], but screening of these differences is a prerequisite for demonstrating the variation in the vaccine efficacy. In this study, we attempted to extract the genetic differences between BCG Pasteur 1173P2 and BCG Danish 1331 with M. tuberculosis H37Rv and M. bovis AF2122/97 based on whole genome sequencing (WGS) data. According to the latest update of the BCG World Atlas in 2020 [21], Danish 1331 is the most common BCG vaccine strain used in 27 countries (16.6%) worldwide. Pasteur 1173P2 is in the second place with a frequency of 15 countries (9.2%). However, there is no evidence as to which vaccine is superior to the others, and therefore different BCG strains are used in immunization programs around the world. In 2007, WGS of the Pasteur 1173P2 was performed using the Sanger sequencing (ABI3700) of the pUC19, pMAQ1b, and M13 libraries, and a whole-genome shotgun library prepared in the pCDNA2.1 [14]. The WGS of the Danish 1331 was also recently performed by combining a second (Illumina MiSeq) and third (PacBio) generation technologies [23]. Consistent with Brosch’s study [14], we reported 2211 and 694 SNPs in BCG Pasteur 1173P2 compared to the M. tuberculosis H37Rv and M. bovis AF2122/97, respectively. However, another study using NimbleGen detected 1010 SNPs between BCG Pasteur and M. tuberculosis H37Rv; Of them, 945 were correctly identified compared to the whole genome sequence [24]. In addition, the study showed that the NimbleGen method has a limited ability to identify SNPs. Unlike the previous study that reported 42 SNPs in Danish 1331 compared to the Pasteur 1173P2 [23], we found 30 SNPs. This discrepancy is probably due to the inability of short read-based sequencing techniques to identify variants in the PE_PGRS genes. In addition, large indels (i.e., RDs) cannot be accurately examined using short reads alone [23]. The ideal to identify variants and RDs is to use hybrid sequencing platforms that create long read along with short reads, which can minimize variants due to the sequencing errors and provide the correct report for genomic variations and large differences [23]. Due to the presence of inherently repetitive structures in the mycobacterium genome, the use of short reads alone may falsely identify these structures as large indels [23]. Therefore, to prevent incorrect reports, we only examined the RDs and duplications that were previously reported.
Deletion of MB0097c-MB0098c, as a Danish determinant, was identified by the current study as described by Abdallah et al. [25]. Inconsistent, this deletion was not detected by Borgers in the Danish 1331 sequence [23]. We also identified this deletion in the Pasteur 1173P2 with different length, which was not reported by Abdallah et al. [25]. Furthermore, we detected RD Denmark/Glaxo, which truncated PPE33 (Rv1809) and removed Rv1810 (equivalent to MB1840 from M. bovis) for Danish 1331, as described by Abdallah et al. [25]. Consistent with the previous study [23], we identified a DU1-like region with a length less than Pasteur 1173P2 DU1. Borgers et al. reported that only Danish 1331 deposited as the WHO reference at the National Institute for Biological Standards and Control (NIBSC) contains this duplication [23]. DU1 has also been reported with different lengths in BCG China and Birkhaug [24]. Moreover, a triploid 7.2 kb DU1-like sequence that covered six genes and crossed the _ori_C region has been identified in a clinical BCG strain (BCG 3281) [26]. The presence of _ori_C in these duplications may indicate that this region is prone to duplicate. The effect of _dna_A-_dna_N (located in DU1) copies on the biology of BCG strains is not well elucidated [13].
Bedwell et al. identified two separate genetic populations in a commercial preparation of the BCG Copenhagen vaccine (a.k.a. BCG Danish 1331) which differed in the copy number of 77 bp repeat in the senX3-regX3 region (2 and 3 repeats) [27]. As reported previously by Borgers’s study [23], we also identified only three 77 bp repeats for BCG Danish 1331. In contrast, Magdalena et al. reported two repeats for a BCG Danish vaccine strain provided by M. Lagranderie (Institut Pasteur, Paris, France) [28]. This finding may indicate that the different strains of BCG Danish are in circulation. As the previous studies [27, 28], two repeats were reported at senX3-regX3 region for Pasteur 1173P2 by the present study.
We described a range of variants in BCG Pasteur 1173P2 and BCG Danish 1331 in this study. All detected variants (SNPs and indels below 100 bp) were reported in BCG strains with the complete genome in the NCBI (variable from one strain to all). Examination of strain-specific variants in other strain (Pasteur 1173P2 and Danish 1331 compared to each other) using contigs alignment with the reference genome showed that: 1) the identified variant in one strain is adjacent to the contigs border in the other strain and is not detectable. 2) The variant in one strain is associated with a deleted region in another. 3) The variant in one strain is intact in the other one.
We found the single nucleotide substitutions C592620A and G2074890T (position in M. tuberculosis H37Rv) in Danish 1331. While the former leads to an amber termination codon (TAG) at position 323 of the amino acid sequence and premature termination, the latter does not alter the structure of the protein produced. SNP in _gal_E2 (C592620A), which is involved in the galactose metabolism (http://genolist.pasteur.fr/TubercuList/), has not been reported in other vaccine strains. In addition to Danish, which shows a 10 bp deletion in _pho_R, other studies have reported that the BCG Glaxo, Sweden, Birkhaug, and Frappier are defective in _pho_R by frameshift mutations with different base pairs [24]. While several studies have reported that _pho_P plays an important role in M. tuberculosis virulence, the role of _pho_R in virulence is less understood [29]. A previous study reported mutations in nine genes required for mycobacterial in vivo survival in 13 BCG strains [30], all identified in this study as well. Except for the identified common SNPs between the 13 BCG strains, we found that the _kdp_D, _lys_X, _pks_12, and _esp_A genes in Pasteur 1173P2 and Danish 1331 carry SNPs that are not present in the other strains. Considering the role of these genes, Pasteur 1173P2 and Danish 1331 may be less resistant to environmental conditions [30], which requires further investigation.
In screening T cell epitopes, we found that several epitopes were lost in Pasteur 1173P2 and Danish 1331 compared to M. tuberculosis H37Rv. These findings differ from the results of Zhang et al., which reported 295 epitopes in 13 BCG strains, 117 lost epitopes through deletion of RD1, and 28 of RD2 [31]. A study of 491 experimentally confirmed human T cell epitopes in 21 Mycobacterium tuberculosis Complex (MTBC) strains reported that these epitopes are highly conserved compared to the remaining MTBC genomes [32]. They found that this observation contradicts studies in pathogenic viruses, bacteria, and protozoa that showed the genes encoding antigens are highly variable to escape host immunity [33,34,35]. Although we showed that most of the present epitopes in two strains were as highly conserved as the M. tuberculosis strains, we identified amino acid substitutions in six T cell epitopes associated with four antigens compared to the M. tuberculosis H37Rv. Replacements in 15 epitopes of nine antigens have been reported by Copin et al., four of which are shared with the present study, including PstS1, Fibronectin-binding protein B/antigen 85B, ESX-1 secretion-associated protein EspA and diacylglycerol acyltransferase/mycolyltransferase Ag85A proteins [36]. All these were reported by Copin et al. as antigens containing variants in their epitopes [36]. Inconsistent, they were identified with variants in their non-epitopic regions in the current study. Moreover, Zhang et al. did not identify mutations in the epitopes of 13 BCG strains [31]. We noted that all absent epitopes in both strains were associated with RDs previously described, and no new missing epitope was identified. We also found that M. tuberculosis epitopes present in the BCG strains are highly conserved, probably due to the low rate of genetic variations during in vitro evolution that causes sequence diversity in these regions [36].
Conclusions
We presented a complete report of the variants (SNPs and short indels) in two of the most widely used BCG vaccines compared to the three reference strains using WGS. These findings may be helpful in a more accurate understanding of phenotypic differences following genetic differences between vaccine strains. In addition, this study may provide evidence for investigating the protective efficacy induced by different BCG strains. This study revealed that the present experimentally confirmed human T cell epitopes are highly conserved in both BCG strains and do not reflect any ongoing evolutionary. However, further studies are required to find the association of genetic variations with vaccine variable efficacy and determine the most effective vaccine strain.
Methods
Vaccine strains, DNA isolation and whole genome sequencing
Two strains of the BCG vaccine, Pasteur 1173P2 and Danish 1331, were prepared from Pasteur Institute (Paris, France) and Statens Serum Institute (Copenhagen, Denmark), respectively. The culture of freeze-dried seed lots was carried out on the Sauton broth medium, which is routinely used to produce the vaccine. Genomic DNA preparation was performed according to the protocol described previously [37]. The identity of the vaccine strains was determined using specific primers of DU1 and RD14 for BCG Pasteur 1173P2 [14, 16] and DU2-III for BCG Danish 1331 [14]. Genomic libraries were constructed using a modified Nextera Flex protocol (Hackflex) [38] and sequenced on an Illumina NovaSeq 6000 instrument using an S4 flow cell to generate 150 bp paired-end reads with an average coverage of 133-fold at ithree institute (University of Technology Sydney, Sydney, Australia).
Genome assembly, alignment, and variant calling
Raw sequence reads were trimmed as a part of the Shovill pipeline (https://github.com/tseemann/shovill) using Trimmomatic (v0.39) [39] to remove adapter sequences and low-quality ends (Phred score < 20) and assessed for quality by FastQC (v0.11.9) [[40](/article/10.1186/s12864-022-08826-9#ref-CR40 "Andrews S. FastQC: a quality control tool for high throughput sequence data. Babraham Bioinformatics. 2010; Available from: https://www.bioinformatics.babraham.ac.uk/projects/fastqc/
.")\]. The reads were de novo assembled to construct contigs using Shovill and SPAdes genome assembler (v3.13.1) \[[41](/article/10.1186/s12864-022-08826-9#ref-CR41 "Bankevich A, Nurk S, Antipov D, Gurevich AA, Dvorkin M, Kulikov AS, et al. SPAdes: a new genome assembly algorithm and its applications to single-cell sequencing. J Comput Biol. 2012;19(5):455–77.")\] and put in the GenBank under BioProject No. PRJNA691088 (Pasteur 1173P2 BioSample No.: SAMN17277795; Danish 1331 BioSample No.: SAMN17277808). Filtration was performed \[[42](/article/10.1186/s12864-022-08826-9#ref-CR42 "Safarchi A, Octavia S, Nikbin VS, Lotfi MN, Zahraei SM, Tay CY, et al. Genomic epidemiology of Iranian Bordetella pertussis: 50 years after the implementation of whole cell vaccine. Emerg Microbes Infect. 2019;8(1):1416–27.")\] to maintain contigs with a size over 1000 bp before evaluating the quality of the assemblies with QUAST (v.5.0.2) \[[43](/article/10.1186/s12864-022-08826-9#ref-CR43 "Gurevich A, Saveliev V, Vyahhi N, Tesler G. QUAST: quality assessment tool for genome assemblies. Bioinformatics. 2013;29(8):1072–5.")\]. The generated contigs were aligned and rearranged with the _M. tuberculosis_ H37Rv (Accession No.: NC\_000962.3), _M. bovis_ AF2122/97 (Accession No.: NC\_002945.4), and _M. tuberculosis_ variant bovis BCG str. Pasteur 1173P2 (Accession No.: NC\_008769.1) as the reference genomes by Mauve aligner (v20150226) using progressiveMauve algorithm (v20150226) \[[44](/article/10.1186/s12864-022-08826-9#ref-CR44 "Darling AC, Mau B, Blattner FR, Perna NT. Mauve: multiple alignment of conserved genomic sequence with rearrangements. Genome Res. 2004;14(7):1394–403.")\]. Annotation was performed using Prokka (v1.12) \[[45](/article/10.1186/s12864-022-08826-9#ref-CR45 "Seemann T. Prokka: rapid prokaryotic genome annotation. Bioinformatics. 2014;30(14):2068–9.")\] and Rapid Annotation using Subsystem Technology (RAST) \[[46](/article/10.1186/s12864-022-08826-9#ref-CR46 "Overbeek R, Olson R, Pusch GD, Olsen GJ, Davis JJ, Disz T, et al. The SEED and the Rapid Annotation of microbial genomes using Subsystems Technology (RAST). Nucleic Acids Res. 2014;42(D1):D206–14."), [47](/article/10.1186/s12864-022-08826-9#ref-CR47 "Aziz RK, Bartels D, Best AA, DeJongh M, Disz T, Edwards RA, et al. The RAST Server: rapid annotations using subsystems technology. BMC Genomics. 2008;9(1):1–5.")\]. Raw reads were also mapped to three references mentioned above by Burrows-Wheeler Aligner (BWA) (v0.7.17) \[[48](/article/10.1186/s12864-022-08826-9#ref-CR48 "Li H, Durbin R. Fast and accurate short read alignment with Burrows-Wheeler transform. Bioinformatics. 2009;25(14):1754–60.")\], followed by BamQC with Qualimap (v2.2.1) \[[49](/article/10.1186/s12864-022-08826-9#ref-CR49 "García-Alcalde F, Okonechnikov K, Carbonell J, Cruz LM, Götz S, Tarazona S, et al. Qualimap: evaluating next-generation sequencing alignment data. Bioinformatics. 2012;28(20):2678–9.")\]. Variant calling was conducted using SAMtools (v0.1.19) \[[50](/article/10.1186/s12864-022-08826-9#ref-CR50 "Li H, Handsaker B, Wysoker A, Fennell T, Ruan J, Homer N, et al. The sequence alignment/map format and SAMtools. Bioinformatics. 2009;25(16):2078–9.")\] to generate VCF output files and Mauve \[[44](/article/10.1186/s12864-022-08826-9#ref-CR44 "Darling AC, Mau B, Blattner FR, Perna NT. Mauve: multiple alignment of conserved genomic sequence with rearrangements. Genome Res. 2004;14(7):1394–403.")\]. Raw VCF files were filtered considering the quality score and read depth of more than 30 and 0.75, respectively \[[25](/article/10.1186/s12864-022-08826-9#ref-CR25 "Abdallah AM, Hill-Cawthorne GA, Otto TD, Coll F, Guerra-Assunção JA, Gao G, et al. Genomic expression catalogue of a global collection of BCG vaccine strains show evidence for highly diverged metabolic and cell-wall adaptations. Sci Rep. 2015;5(1):1–5.")\]. The presence or absence of experimentally confirmed human T cell epitopes in the BCG genomes was assessed by retrieving _M. tuberculosis_ T cell epitopes from the Immune Epitopes DataBase (IEDB) \[[51](/article/10.1186/s12864-022-08826-9#ref-CR51 "Vita R, Mahajan S, Overton JA, Dhanda SK, Martini S, Cantrell JR, et al. The immune epitope database (IEDB): 2018 update. Nucleic Acids Res. 2019;47(D1):D339–43.")\].Availability of data and materials
The raw sequence reads can be found in the NCBI SRA database (https://www.ncbi.nlm.nih.gov/search/all/?term=PRJNA691088) under BioProject number: PRJNA691088. The complete genomes of Mycobacterium tuberculosis H37Rv, Mycobacterium bovis AF2122/97, and Mycobacterium tuberculosis variant bovis BCG str. Pasteur 1173P2, which are used as the references in this study, have been deposited in the GenBank with accession numbers: NC_000962.3, NC_002945.4, and NC_008769.1, respectively. All data generated or analyzed during this study are included in this article and its supplementary information files.
Abbreviations
BCG:
Bacillus Calmette–Guérin
TB:
Tuberculosis
SNP:
Single Nucleotide Polymorphism
InDel:
Insertion and Deletion
M. bovis :
Mycobacterium bovis
NTMs:
Non-Tuberculosis Mycobacteria
M. tuberculosis :
Mycobacterium tuberculosis
ECBS:
Expert Committee on Biological Standardization
CDS:
Coding Sequence
RD:
Region of Difference
nSNP:
Non-synonymous SNP
ORF:
Open Reading Frame
sSNP:
Synonymous SNP
WGS:
Whole Genome Sequencing
NIBSC:
National Institute for Biological Standards and Control
MTBC:
Mycobacterium tuberculosis Complex
RAST:
Rapid Annotation using Subsystem Technology
BWA:
Burrows-Wheeler Aligner
IEDB:
Immune Epitopes DataBase
References
- Abdallah AM, Behr MA. Evolution and Strain Variation in BCG. Adv Exp Med Biol. 2017;1019:155–69.
Article PubMed CAS Google Scholar - Behr MA. BCG—different strains, different vaccines? Lancet Infect Dis. 2002;2(2):86–92.
Article PubMed Google Scholar - Tran V, Liu J, Behr MA. BCG vaccines. Microbiol Spectr. 2014;2(1):MGM2–0028–2013.
- Colditz GA, Berkey CS, Mosteller F, Brewer TF, Wilson ME, Burdick E, et al. The efficacy of bacillus Calmette-Guerin vaccination of newborns and infants in the prevention of tuberculosis: meta-analyses of the published literature. Pediatrics. 1995;96(1):29–35.
Article PubMed CAS Google Scholar - Trunz BB, Fine PE, Dye C. Effect of BCG vaccination on childhood tuberculous meningitis and miliary tuberculosis worldwide: a meta-analysis and assessment of cost-effectiveness. Lancet. 2006;367(9517):1173–80.
Article PubMed Google Scholar - Colditz GA, Brewer TF, Berkey CS, Wilson ME, Burdick E, Fineberg HV, et al. Efficacy of BCG vaccine in the prevention of tuberculosis: meta-analysis of the published literature. JAMA. 1994;271(9):698–702.
Article PubMed CAS Google Scholar - Brewer TF. Preventing tuberculosis with bacillus Calmette-Guerin vaccine: a meta-analysis of the literature. Clin Infect Dis. 2000;31(Supplement_3):S64-7.
Article PubMed Google Scholar - Fine PE. Variation in protection by BCG: implications of and for heterologous immunity. Lancet. 1995;346(8986):1339–45.
Article PubMed CAS Google Scholar - Comstock GW. Field trials of tuberculosis vaccines: how could we have done them better? Control Clin Trials. 1994;15(4):247–76.
Article PubMed CAS Google Scholar - Demangel C, Garnier T, Rosenkrands I, Cole ST. Differential effects of prior exposure to environmental mycobacteria on vaccination with Mycobacterium bovis BCG or a recombinant BCG strain expressing RD1 antigens. Infect Immun. 2005;73(4):2190–6.
Article PubMed PubMed Central CAS Google Scholar - Davids V, Hanekom WA, Mansoor N, Gamieldien H, Sebastian JG, Hawkridge A, et al. The effect of bacille Calmette-Guerin vaccine strain and route of administration on induced immune responses in vaccinated infants. J Infect Dis. 2006;193(4):531–6.
Article PubMed CAS Google Scholar - Mahairas GG, Sabo PJ, Hickey MJ, Singh DC, Stover CK. Molecular analysis of genetic differences between Mycobacterium bovis BCG and virulent M. bovis. J Bacteriol. 1996;178(5):1274–82.
Article PubMed PubMed Central CAS Google Scholar - Brosch R, Gordon SV, Buchrieser C, Pym AS, Garnier T, Cole ST. Comparative genomics uncovers large tandem chromosomal duplications in Mycobacterium bovis BCG Pasteur. Yeast. 2000;1(2):111–23.
Article Google Scholar - Brosch R, Gordon SV, Garnier T, Eiglmeier K, Frigui W, Valenti P, et al. Genome plasticity of BCG and impact on vaccine efficacy. Proc Natl Acad Sci U S A. 2007;104(13):5596–601.
Article PubMed PubMed Central CAS Google Scholar - Mostowy S, Tsolaki AG, Small PM, Behr MA. The in vitro evolution of BCG vaccines. Vaccine. 2003;21(27–30):4270–4.
Article PubMed CAS Google Scholar - Behr MA, Wilson MA, Gill WP, Salamon H, Schoolnik GK, Rane S, et al. Comparative genomics of BCG vaccines by whole-genome DNA microarray. Science. 1999;284(5419):1520–3.
Article PubMed CAS Google Scholar - Gordon SV, Brosch R, Billault A, Garnier T, Eiglmeier K, Cole ST. Identification of variable regions in the genomes of tubercle bacilli using bacterial artificial chromosome arrays. Mol Microbiol. 1999;32(3):643–55.
Article PubMed CAS Google Scholar - Salamon H, Kato-Maeda M, Small PM, Drenkow J, Gingeras TR. Detection of deleted genomic DNA using a semi automated computational analysis of GeneChip data. Genome Res. 2000;10(12):2044–54.
Article PubMed PubMed Central CAS Google Scholar - Ho MM, Southern J, Kang HN, Knezevic I. WHO Informal Consultation on standardization and evaluation of BCG vaccines Geneva, Switzerland 22–23 September 2009. Vaccine. 2010;28(43):6945–50.
Article PubMed Google Scholar - Dagg B, Hockley J, Rigsby P, Ho MM. The establishment of sub-strain specific WHO Reference Reagents for BCG vaccine. Vaccine. 2014;32(48):6390–5.
Article PubMed PubMed Central CAS Google Scholar - Zwerling A, Behr MA, Verma A, Brewer TF, Menzies D, Pai M. The BCG World Atlas: a database of global BCG vaccination policies and practices. PLoS Med. 2011;8(3): e1001012.
Article PubMed PubMed Central Google Scholar - Liu J, Tran V, Leung AS, Alexander DC, Zhu B. BCG vaccines: their mechanisms of attenuation and impact on safety and protective efficacy. Hum Vaccin. 2009;5(2):70–8.
Article PubMed CAS Google Scholar - Borgers K, Ou JY, Zheng PX, Tiels P, Van Hecke A, Plets E, et al. Reference genome and comparative genome analysis for the WHO reference strain for Mycobacterium bovis BCG Danish, the present tuberculosis vaccine. BMC Genomics. 2019;20(1):1–4.
Article CAS Google Scholar - Leung AS, Tran V, Wu Z, Yu X, Alexander DC, Gao GF, et al. Novel genome polymorphisms in BCG vaccine strains and impact on efficacy. BMC Genomics. 2008;9(1):1–2.
Article CAS Google Scholar - Abdallah AM, Hill-Cawthorne GA, Otto TD, Coll F, Guerra-Assunção JA, Gao G, et al. Genomic expression catalogue of a global collection of BCG vaccine strains show evidence for highly diverged metabolic and cell-wall adaptations. Sci Rep. 2015;5(1):1–5.
Article CAS Google Scholar - Li X, Chen L, Zhu Y, Yu X, Cao J, Wang R, et al. Genomic analysis of a Mycobacterium bovis bacillus Calmette-Guérin strain isolated from an adult patient with pulmonary tuberculosis. PLoS ONE. 2015;10(4): e0122403.
Article PubMed PubMed Central CAS Google Scholar - Bedwell J, Kairo SK, Behr MA, Bygraves JA. Identification of substrains of BCG vaccine using multiplex PCR. Vaccine. 2001;19(15–16):2146–51.
Article PubMed CAS Google Scholar - Magdalena J, Supply P, Locht C. Specific differentiation between Mycobacterium bovis BCG and virulent strains of the Mycobacterium tuberculosis complex. J Clin Microbiol. 1998;36(9):2471–6.
Article PubMed PubMed Central CAS Google Scholar - Asensio JG, Maia C, Ferrer NL, Barilone N, Laval F, Soto CY, et al. The virulence-associated two-component PhoP-PhoR system controls the biosynthesis of polyketide-derived lipids in Mycobacterium tuberculosis. J Biol Chem. 2006;281(3):1313–6.
Article CAS Google Scholar - Garcia Pelayo MC, Uplekar S, Keniry A, Mendoza Lopez P, Garnier T, Nunez Garcia J, et al. A comprehensive survey of single nucleotide polymorphisms (SNPs) across Mycobacterium bovis strains and M. bovis BCG vaccine strains refines the genealogy and defines a minimal set of SNPs that separate virulent M. bovis strains and M. bovis BCG strains. Infect Immun. 2009;77(5):2230–8.
Article PubMed PubMed Central CAS Google Scholar - Zhang W, Zhang Y, Zheng H, Pan Y, Liu H, Du P, et al. Genome sequencing and analysis of BCG vaccine strains. PLoS ONE. 2013;8(8): e71243.
Article PubMed PubMed Central CAS Google Scholar - Comas I, Chakravartti J, Small PM, Galagan J, Niemann S, Kremer K, et al. Human T cell epitopes of Mycobacterium tuberculosis are evolutionarily hyperconserved. Nat Genet. 2010;42(6):498–503.
Article PubMed PubMed Central CAS Google Scholar - Kawashima Y, Pfafferott K, Frater J, Matthews P, Payne R, Addo M, et al. Adaptation of HIV-1 to human leukocyte antigen class I. Nature. 2009;458(7238):641–5.
Article PubMed PubMed Central CAS Google Scholar - Farci P, Shimoda A, Coiana A, Diaz G, Peddis G, Melpolder JC, et al. The outcome of acute hepatitis C predicted by the evolution of the viral quasispecies. Science. 2000;288(5464):339–44.
Article PubMed CAS Google Scholar - Jeffares DC, Pain A, Berry A, Cox AV, Stalker J, Ingle CE, et al. Genome variation and evolution of the malaria parasite Plasmodium falciparum. Nat Genet. 2007;39(1):120–5.
Article PubMed CAS Google Scholar - Copin R, Coscollá M, Efstathiadis E, Gagneux S, Ernst JD. Impact of in vitro evolution on antigenic diversity of Mycobacterium bovis bacillus Calmette-Guerin (BCG). Vaccine. 2014;32(45):5998–6004.
Article PubMed PubMed Central CAS Google Scholar - Van Soolingen DI, Hermans PW, De Haas PE, Soll DR, Van Embden JD. Occurrence and stability of insertion sequences in Mycobacterium tuberculosis complex strains: evaluation of an insertion sequence-dependent DNA polymorphism as a tool in the epidemiology of tuberculosis. J Clin Microbiol. 1991;29(11):2578–86.
Article PubMed PubMed Central Google Scholar - Gaio D, To J, Liu M, Monahan L, Anantanawat K, Darling AE. Hackflex: low cost Illumina sequencing library construction for high sample counts. BioRxiv. 2019:779215.
- Bolger AM, Lohse M, Usadel B. Trimmomatic: a flexible trimmer for Illumina sequence data. Bioinformatics. 2014;30(15):2114–20.
Article PubMed PubMed Central CAS Google Scholar - Andrews S. FastQC: a quality control tool for high throughput sequence data. Babraham Bioinformatics. 2010; Available from: https://www.bioinformatics.babraham.ac.uk/projects/fastqc/.
- Bankevich A, Nurk S, Antipov D, Gurevich AA, Dvorkin M, Kulikov AS, et al. SPAdes: a new genome assembly algorithm and its applications to single-cell sequencing. J Comput Biol. 2012;19(5):455–77.
Article PubMed PubMed Central CAS Google Scholar - Safarchi A, Octavia S, Nikbin VS, Lotfi MN, Zahraei SM, Tay CY, et al. Genomic epidemiology of Iranian Bordetella pertussis: 50 years after the implementation of whole cell vaccine. Emerg Microbes Infect. 2019;8(1):1416–27.
Article PubMed PubMed Central CAS Google Scholar - Gurevich A, Saveliev V, Vyahhi N, Tesler G. QUAST: quality assessment tool for genome assemblies. Bioinformatics. 2013;29(8):1072–5.
Article PubMed PubMed Central CAS Google Scholar - Darling AC, Mau B, Blattner FR, Perna NT. Mauve: multiple alignment of conserved genomic sequence with rearrangements. Genome Res. 2004;14(7):1394–403.
Article PubMed PubMed Central CAS Google Scholar - Seemann T. Prokka: rapid prokaryotic genome annotation. Bioinformatics. 2014;30(14):2068–9.
Article PubMed CAS Google Scholar - Overbeek R, Olson R, Pusch GD, Olsen GJ, Davis JJ, Disz T, et al. The SEED and the Rapid Annotation of microbial genomes using Subsystems Technology (RAST). Nucleic Acids Res. 2014;42(D1):D206–14.
Article PubMed CAS Google Scholar - Aziz RK, Bartels D, Best AA, DeJongh M, Disz T, Edwards RA, et al. The RAST Server: rapid annotations using subsystems technology. BMC Genomics. 2008;9(1):1–5.
Article CAS Google Scholar - Li H, Durbin R. Fast and accurate short read alignment with Burrows-Wheeler transform. Bioinformatics. 2009;25(14):1754–60.
Article PubMed PubMed Central CAS Google Scholar - García-Alcalde F, Okonechnikov K, Carbonell J, Cruz LM, Götz S, Tarazona S, et al. Qualimap: evaluating next-generation sequencing alignment data. Bioinformatics. 2012;28(20):2678–9.
Article PubMed CAS Google Scholar - Li H, Handsaker B, Wysoker A, Fennell T, Ruan J, Homer N, et al. The sequence alignment/map format and SAMtools. Bioinformatics. 2009;25(16):2078–9.
Article PubMed PubMed Central CAS Google Scholar - Vita R, Mahajan S, Overton JA, Dhanda SK, Martini S, Cantrell JR, et al. The immune epitope database (IEDB): 2018 update. Nucleic Acids Res. 2019;47(D1):D339–43.
Article PubMed CAS Google Scholar
Acknowledgements
Not applicable.
Funding
This work was funded by Tehran University of Medical Sciences (Grant number: 40984). This research was also partially supported by a grant from Iran National Science Foundation (INSF) (Project number: 98009344).
Author information
Authors and Affiliations
- Division of Microbiology, Department of Pathobiology, School of Public Health, Tehran University of Medical Sciences, Tehran, Iran
Mahla Asadian & Masoumeh Douraghi - BCG Vaccine Production Plant, Pasteur Institute of Iran, Karaj, Iran
Seyed Mehdi Hassanzadeh - School of Biotechnology and Biomolecular Sciences, University of New South Wales, Sydney, Australia
Azadeh Safarchi
Authors
- Mahla Asadian
- Seyed Mehdi Hassanzadeh
- Azadeh Safarchi
- Masoumeh Douraghi
Contributions
M.A. performed the experiments, analyzed WGS data, and wrote the draft of manuscript. S.M.H. provided the vaccines seed lot and collaborated for vaccine strains cultivation at BCG plant. A.S. had a role as a bioinformatics consultant of the project and edited the manuscript. M.D. conceptualized the study, acquired the funding, and edited the manuscript. All authors read and approved the final version of manuscript.
Corresponding author
Correspondence toMasoumeh Douraghi.
Ethics declarations
Ethics approval and consent to participate
Not applicable.
Consent for publication
Not applicable.
Competing interests
The authors declare that they have no competing interests.
Additional information
Publisher’s Note
Springer Nature remains neutral with regard to jurisdictional claims in published maps and institutional affiliations.
Supplementary Information
Additional file 1:
Table S1. SNPs compared to M. tuberculosis H37RV. Table S2. Indels compared to M. tuberculosis H37Rv. Table S3. SNPs compared to M. tuberculosis variant bovis AF212297. Table S4. Indels compared to M. tuberculosis variant bovis AF212297. Table S5. SNPs & Indels compared to M. tuberculosis variant bovis BCG str. Pasteur 1173P2. Table S6. Antigenic epitopes compared to M. tuberculosis H37Rv. Table S7. Antigenic epitopes compared to M. tuberculosis variant bovis AF212297.
Rights and permissions
Open Access This article is licensed under a Creative Commons Attribution 4.0 International License, which permits use, sharing, adaptation, distribution and reproduction in any medium or format, as long as you give appropriate credit to the original author(s) and the source, provide a link to the Creative Commons licence, and indicate if changes were made. The images or other third party material in this article are included in the article's Creative Commons licence, unless indicated otherwise in a credit line to the material. If material is not included in the article's Creative Commons licence and your intended use is not permitted by statutory regulation or exceeds the permitted use, you will need to obtain permission directly from the copyright holder. To view a copy of this licence, visit http://creativecommons.org/licenses/by/4.0/. The Creative Commons Public Domain Dedication waiver (http://creativecommons.org/publicdomain/zero/1.0/) applies to the data made available in this article, unless otherwise stated in a credit line to the data.
About this article
Cite this article
Asadian, M., Hassanzadeh, S.M., Safarchi, A. et al. Genomic characteristics of two most widely used BCG vaccine strains: Danish 1331 and Pasteur 1173P2.BMC Genomics 23, 609 (2022). https://doi.org/10.1186/s12864-022-08826-9
- Received: 08 May 2022
- Accepted: 05 August 2022
- Published: 21 August 2022
- Version of record: 21 August 2022
- DOI: https://doi.org/10.1186/s12864-022-08826-9


